Maximize the Energy from Long-Life Batteries
Bidraget af DigiKey's European Editors
2016-06-28
Battery lifetime is a key consideration for the development of the wireless sensor nodes that will populate the Industrial Internet of Things (IIoT). In many applications, the sensor nodes will need to be installed in locations that are difficult to reach let alone service. The sensor nodes need to be autonomous in terms of energy because it is too costly and difficult to run power lines to them or to have maintenance workers replace batteries regularly.
As well as low power consumption in the processing electronics, the battery itself needs to be able to support very long service times: potentially as long as 20 years. Many battery chemistries cannot support such a long service life even when supporting specialized low-energy electronics because of their self-discharge rate.
Lithium thionyl chloride chemistry, however, has a very low self-discharge rate. As a result, the chemistry provides the longest life and highest energy autonomy seen so far for primary battery technology that is suitable for IoT sensor nodes and other equipment where small size is important. The service life of the lithium thionyl chloride chemistry has been demonstrated over a period of close to 40 years. AA-size cells have exhibited a service life of more than 20 years in utility meters.
However, as the applications for long-lifetime battery-powered systems widen, it is important to take into account the characteristics of the lithium thionyl chloride chemistry. The addition of wireless communications to sensor nodes as well as actuation functions – such as the ability to open and close gas or liquid valves – increases the peak current required from the battery.
The microcontroller in a typical sensor-node or metering application will be asleep for much of the time, waking up to take readings at regular intervals to store them in local memory. At less frequent intervals, the microcontroller will activate the wireless communications module and send a packet of stored data to a gateway or server. When the wireless interface is transmitting, the current needed may reach 500 mA; but it needs to be only a period of a few hundred milliseconds.
Although the nominal ratings of the battery may appear to support such short-term peak currents, the inevitable effects of ageing can reduce the in-field lifetime. The available capacity from the battery is affected not only by the self-discharge rate, but also by a gradual rise in impedance caused by the generation of substantial current pulses.

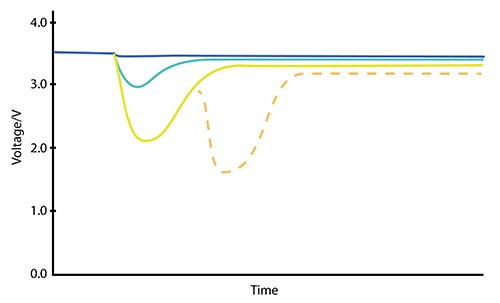
Figure 1: The effects of different sized current pulses on voltage with time, showing the potential cumulative effect for successive pulses. The use of a constant low current will restore the voltage level.
The very low self-discharge rate of the lithium thionyl chloride battery chemistry is largely due to a passivation layer of lithium chloride that forms on the surface of the anode as it discharges. This insulating layer restricts current flow but is partially dislodged by placing a load on the cell. However, there is a delay involved because of the chemical processes needed to form conductive paths through the passivation layer. This is exhibited as a transient voltage drop that is followed by a slow rise in voltage under constant load.
The transient voltage drop varies depending on the thickness and density of the passivation layer. The higher the discharge current becomes, the lower the voltage supplied. Partially discharging a cell and then removing the load tends to increase the amount of passivation, increasing the voltage reduction and delay each time.
If a D-size cell, such as the Tadiran TL-5134/P, is discharged gradually with a continual load of around 50 µA, it can be expected to continue to deliver current close to its nominal voltage over a period of more than ten years. However, if the battery is required to deliver much larger current pulses, the situation changes. Taking the same D-size cell and using it to deliver current pulses of 150 mA, experiments by Tadiran have shown that the same cell will sustain a voltage of 3 V for around two years. After that, the voltage begins to decline, gradually falling to 1.5 V after five years. In a circuit designed to expect a voltage of higher than 1.5 V, the battery appears to be fully discharged after five years and not ten or twenty. However, the battery still has plenty of stored charge and could, if the system were able to harness it, continue to deliver the energy required for another ten years.
The key to continued long service life with a lithium thionyl chloride cell is to smooth out the current demand so that it is not expected to deliver large current pulses. This calls for the use of an energy-buffering scheme to deliver pulses of energy with the battery providing a constant stream of charge into the buffer circuitry.
One way to provide a controlled energy buffer is to employ a large capacitor and a DC/DC converter such as the Texas Instruments TPS62740 to regulate the flow of the charge into the capacitor. To ensure there is enough charge to operate a wireless link for several hundred microseconds, a double-layer capacitor or supercapacitor provides a suitable choice.

Figure 2: The use of a microcontroller with the TPS62740 to control voltage supplied to the supercapacitor.
The circuit design uses a resistor on the output of the DC/DC converter to limit current flow into the supercapacitor and, with that, the current drawn from a high-capacity primary cell such as that found in the Tadiran XTRA series. The resistor needs to be selected to keep the current demand at a level consistent with long service life. Although it is possible to attach the primary cell to the capacitor through a resistor, the advantage of using a DC/DC converter is that it can adjust its output voltage dynamically to minimize energy losses from the resistor.
A programmable DC/DC converter such as the TPS62740 can, as the supercapacitor charges towards its maximum capacity, increase its output voltage incrementally. A suggested profile is an increase of 100 mV every 30 or 60 seconds. The overall charging period may be over the period of ten or more minutes. However, during this time, because of the gradual step up in supply voltage, the drop across the resistor will always be less than 100 mV. Although the current demand from the battery will rise sharply before decaying away on each step up in voltage, the current demanded is on the order of 2 mA to 4 mA, which does not adversely affect internal resistance too much.
The voltage range over which the DC/DC converter will supply charge will be limited by two factors – the voltage required by the microcontroller supplied downstream from the capacitor and the maximum voltage of the supercapacitor, which will typically be in the 2.5 V to 2.7 V range. An embedded microcontroller may expect a voltage range from 1 V to 2 V. As a result, the DC/DC converter will be expected to operate over a range from 1 V to 2.7 V, possibly narrower depending on microcontroller and supercapacitor choice.
At start-up, the supercapacitor will need to be charged to the voltage level expected by the microcontroller. For this stage, a larger resistor may be used to properly limit current flow into the supercapacitor. Once the initial target voltage is reached, a smaller resistor can be switched in to minimize overall losses. This can be achieved by arranging the two resistances in parallel. A normally open switch operated by the microcontroller ensures that the higher resistance path is used during start-up. After that voltage level is reached, the microcontroller switches in the lower resistance path.
There are some losses due to the switching conversion in the DC/DC converter as well as from the current-limiting resistor; but the stepped operation helps keep overall efficiency close to 90%. The result of the power-control strategy is a circuit that maximizes the lifetime of the lithium thionyl chloride battery cell.

Figure 3: The use of a gradually stepped voltage during charging followed by a discharge cycle when the radio module is active.
Disclaimer: The opinions, beliefs, and viewpoints expressed by the various authors and/or forum participants on this website do not necessarily reflect the opinions, beliefs, and viewpoints of DigiKey or official policies of DigiKey.

