Accurate Power Measurement in Smart Meters, Part 2: Specifying Components
Contributed By Electronic Products
2012-08-01
To meet the demands of advanced billing and energy management services, the MCUs driving today’s smart meters and sub-metering systems employ high-precision analog front end (AFE) circuits and sophisticated data processing software. The first installment of this two-part series provided an overview of the basic functional requirements and architectural approaches used in modern meters. This installment will take a deeper dive into some of the design issues involved with specifying components which ensure that a smart meter will deliver the necessary accuracy and performance for its target application.
Front-end basics
The basic elements of a smart meter’s energy measurement front end are a current sensor, an analog-to-digital-converter (ADC), and the algorithms used by a dedicated MCU or the meter’s host processor to interpret the raw data (Figure 1).
Resistive shunts have traditionally been the most commonly-used current sensing technique for residential and other low-to-medium-power applications. Shunt-based sensors use a low-value resistor (typically 100 µ? to 500 m?) to produce a small but reliable voltage drop from which the current is calculated. Although they are simple, inexpensive, and relatively reliable, Ohm’s Law dictates that shunt-based current sensors have a limited upper current range due to self-heating and power loss. Advances in the accuracy and dynamic range of ADCs have made it possible to use lower shunt resistances, but they remain impractical for larger commercial and industrial applications. Unlike the inductively based sensors that will be discussed next, resistive shunts require separate isolator elements if they are used in poly-phase systems. Nevertheless, shunt-based sensors’ lower cost and relative immunity against tampering techniques that use a DC magnetic field, still make them popular for residential applications.
Current transformers (CTs) substitute the shunt’s resistive elements by routing the conductor carrying the current to be metered through a magnetic core with a set of windings (Figure 2). When AC current flows through the center of the CT, it produces a magnetic field which is stepped up by the core’s windings and the resulting voltage can be measured across a resistor. As one might expect, the higher accuracy, higher current ranges, and inherent isolation that CT-based sense elements provide are more expensive than simpler resistive solutions.
The third type of current-sensing element, known as a Rogowski coil, consists of a coil of wire wrapped around the conductor whose current is to be measured. Since the voltage induced in the coil is proportional to the rate of change of current, producing a signal that is proportional to the current requires the coil’s output be integrated. As shown in Figure 3, the coil’s output terminals 'v(t)' are connected to an integrator circuit in order to obtain a voltage Vout(t) proportional to i(t). Alternatively, digital sampling and processing techniques may be used. At present, Rogowski coils are relatively expensive but their fast response times, highly linear outputs over large current ranges, inherent isolation, and relative immunity to electromagnetic interference have justified their higher cost in demanding industrial/commercial metering applications. It is also expected that their cost will drop as they find increased use in smart meters.
Precision decisions
Most smart meters use some variant of a delta-sigma-type (ADC) to make their voltage and current readings. It is generally believed that devices using this architecture are the most cost-effective solutions for providing the high-resolution digitization at the sampling speeds needed for accurate energy measurement (and the resulting power calculations). But it is a bit less cut-and-dry when it comes down to deciding how many bits of resolution and the right sample rate to use. As discussed in the first installment, the level of accuracy required for a utility meter varies according to the class of application they are intended for, as defined by the relevant portions of the IEC or ANSI standards.1,2 It can be as tight as 0.2 percent, although 0.5 percent is more common today.
Ideally, the absolute accuracy of the measurement should be determined only by the quality of the board layout, the accuracy of the current sensor, and the accuracy of the ADCs. However, improper power calculation techniques can result in inappropriate data truncation which can introduce numerical errors that create errors in the final results.
Typically, power measurement accuracy is calculated in terms of a percent error over a given dynamic range (DR) where:
DR= Imax / Imin.
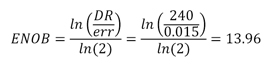
Using the example for a Class B meter in Table 1 as an example: DR = 60/ 0.25 or 240 : 1.
Letter Class |
Ireference (Iref) | Imaximum (IMax) | Itransitional (Itr) Itr = Iref/10 |
Iminimum (Imin) Imin = 0.5*Itr |
Accuracy <Imin to Itr> |
Accuracy <Itr to Imax> |
A | 5 A | 60 A | 0.5 A | 0.25 A | 2.5% | 2% |
B | 5 A | 60 A | 0.5 A | 0.25 A | 1.5% | 1% |
C | 5 A | 60 A | 0.5 A | 0.15 A | 1% | 0.5% |
Table 1: Static power meter accuracy and dynamic range (Courtesy of Freescale Semiconductor).
Once the magnitude of the signal required for accurate measurement over a given dynamic range is calculated, the overall accuracy requirements of the AFE can be determined. In applications where there is a greater current range or a smaller error over an equivalent range, a more accurate AFE is required. An ADC’s effective number of bits ENOB should allow a resolution better than the smallest signal being measured (after factoring in any loss of accuracy due to amplification). Continuing the example above, the accuracy required for a class B meter is 1.5 percent. The ENOB value is calculated as follows:

So for this application, we need an ADC with an ENOB of 14 bits, which typically requires a 16-bit ADC. The total harmonic distortion (THD) and signal-to-noise and distortion (SINAD) ratio are leading indicators of ADC accuracy. The ADC’s performance is part of the equation.
The ADC’s sample rate should be selected to be sufficient to meet the Nyquist rate for the types of measurements the meter will be required to make (i.e., slightly greater than twice the highest frequency that is desired to be measured). In the case of power measurement, this is the fundamental frequency (50 Hz/60 Hz) multiplied by the number of harmonics that are of interest. For 60 Hz systems, a sampling rate of 3 to 4 k samples/s is usually sufficient to monitor phase variation, over voltage, non-symmetrical voltage, brief over currents, and other common line perturbations related to power-quality monitoring. The IEC meter standards specify how the meter should behave when the input current is up to 30 times over its maximum current rating. Reaction to line perturbations should be addressed through a combination of signal-conditioning circuits and signal-processing software (typically fast Fourier transforms) run on either the meter’s host processor or, in some cases, the AFE’s MCU.
The same high-rate sampling capabilities used to monitor line perturbations can also be used to monitor active power and reactive power which can be used to improve the meter’s accuracy. Once they are derived from the measurement data provided by the AFE, the power factor (PF) can be calculated, as follows:

Smart meters will be required to measure power factor or power quality in most industrial and many commercial applications, although it is typically not required for residential meters. But since adding power factor measurement capabilities to modern smart meters adds little (or nothing) to their production cost, there is growing interest in making it available because the electrical efficiency information it provides can be valuable to the utility and building owners.
Standalone AFEs like Atmel’s 78M6612 and Microchip’s PIC18F87J72 devices have more than enough precision for most applications. Likewise, single-chip integrated meters such as Atmel’s 71M6541D /71M6542, and Freescale’s MK30DX256 Kinetis MCU deliver the precision and accuracy required for single-phase residential meters.
Multi-phase apps
Many MCU manufacturers are also developing highly-integrated AFEs for multi-phase applications. For example, the ADCs on Microchip’s AFE devices use hardware logic to insure synchronous sampling. The MCP3903 AFE provides six synchronously sampling ADCs for three-phase energy measurement. For multiple devices, the same clock signal can be used to synchronize sampling clocks across multiple devices. In a similar manner, Atmel’s 78M6631 energy measurement device contains all the necessary sampling and conversion elements to implement a high-precision three-phase AFE.
In conclusion
As we have discussed, smart meters can use different measuring principles. We looked at resistive shunts, sense elements that employ current transformers (CTs), and Rogowski coils with their fast response times and highly linear outputs over large current ranges. We then reviewed how to calculate power measurement accuracy and how to decide upon an ADC’s sample rate. Finally, we examined available parts that are helping address smart meter design issues. For more information on the products mentioned here, use the links provided to access product pages on the DigiKey website.
References:
- IEC 62053 Electricity Meter Specification
- GB/T 17883-1999 Electricity Meter Specification
- Microchip Application Note # 994: “IEC Compliant Active-Energy Meter Design Using The MCP3905A/06A”
Disclaimer: The opinions, beliefs, and viewpoints expressed by the various authors and/or forum participants on this website do not necessarily reflect the opinions, beliefs, and viewpoints of DigiKey or official policies of DigiKey.